이미지의 각 픽셀에 들어있는 R, G, B 값을 새로운 R′, G′, B′ 값으로 변환하려면 Color Transform(색 변환) 기법을 고려할 수 있습니다.
OpenCV는 내부적으로 BGR 순서를 사용하므로 예제를 읽을 때 채널 순서에 주의하세요.
예시(스캔된 채널의 최대값이 다음과 같을 때 — OpenCV 배열은 BGR 순서):
G 채널 최댓값 = (10, 230, 10)
B 채널 최댓값 = (230, 10, 10)
목표: 스펙트럼(명도·색분포)을 넓혀 대비를 개선하고 싶다면, 각 채널의 타겟 값을 다음처럼 조정할 수 있습니다.
목표 G = (1, 250, 1)
목표 B = (250, 1, 1)
이렇게 채널별로 값을 재배치하거나 스케일링하면 결과적으로 히스토그램이 확장되어(contrast stretching) 이미지 전체의 색상과 밝기 범위가 넓어집니다. 실무에서는 cv::transform이나 채널별 LUT(lookup table)를 사용해 안전하고 빠르게 적용할 수 있으며, 원하는 효과를 얻기 위해 채널별 정규화나 감마 보정과 함께 사용하는 것이 일반적입니다.
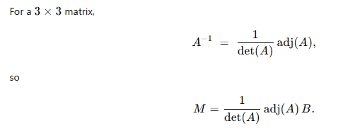
변환 매트릭스(M) 구하기



여기서 det(A)는 행렬식(Deterninat)이고 adj(A)는 수반행렬이다.
각각 구하는 식의 이론은 아래 사이트에서 확인하길 바란다.
https://m.blog.naver.com/lagrange0115/222087882248
https://portrait-of-youngblood.tistory.com/12
OpenCV (C++)에서의 M 계산 방법
Transformation matrix M:
[1.090545454545455, -0.04127272727272727, -0.04127272727272727;
-0.04127272727272727, 1.090545454545454, -0.04127272727272727;
-0.04127272727272727, -0.04127272727272727, 1.090545454545454]
OpenCV (C++)에서 M 을 칼러이미지 전체에 적용
'opencv' 카테고리의 다른 글
| findContours 의 CV_RETR_TREE 옵션과 hierarchy 의 관계 (0) | 2025.06.26 |
|---|---|
| findContours 의 결과 포인트들을 좀 더 심플하게 가공 (1) | 2025.06.25 |
| Barcode 읽기 (0) | 2025.02.23 |
| close contours (convexHull 사용) (0) | 2025.02.16 |
| 스캔 이미지 중 여러 영수증 분리하기 (0) | 2025.02.15 |